Menu
Feedback
Tutorials
Payments overview
How do you calculate payments in installments with compound interest?
1 min read

There are two possible configurations for collecting installment payments with compound interest:

  • Collection at the beginning of the period;
  • Collection at the end of the period.

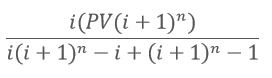
Beginning of the period

Collection at the beginning of the period is calculated as follows:

  1. i = Interest rate
  2. n = Number of installments
  3. PV = Present Value (total amount of the purchase without interest)
  4. Installment = 

End of the period

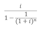
Collection at the end of the period is calculated as follows:

  1. i = Interest rate
  2. n = Number of installments
  3. PV = Present Value (total amount of the purchase without interest)
  4. Cash Flow Multiplier =
  5. Installment = PV x Cash Flow Multiplier

Examples

Beginning of the period

  1. i = 1%
  2. n = 12
  3. PV = 1000

End of the period

  1. i = 1%
  2. n = 12
  3. PV = 1000
Contributors
1
Photo of the contributor
+ 1 contributors
Was this helpful?
Yes
No
Suggest Edits (GitHub)
Difference between payment methods and payment conditions
« Previous
How do I add the PCI SSC certificate to my store?
Next »
Contributors
1
Photo of the contributor
+ 1 contributors
On this page
Still got questions?
Ask the community
Find solutions and share ideas in the VTEX Community
Join our community
Request VTEX support
For personalized assistance, contact our experts
Open a support ticket
GitHubDeveloper PortalCommunityFeedback